首頁
走進黃埔
新聞資訊
政務公開
政務服務
營商環境
互動交流
工作機構
English
登錄
\
無障礙
\
長者助手
繁體
English
日本語
한국어
數字人無障礙
網站支持IPV6
首頁
/
政務公開
/
財政資金
/
部門預決算
/
預算
/
2013年
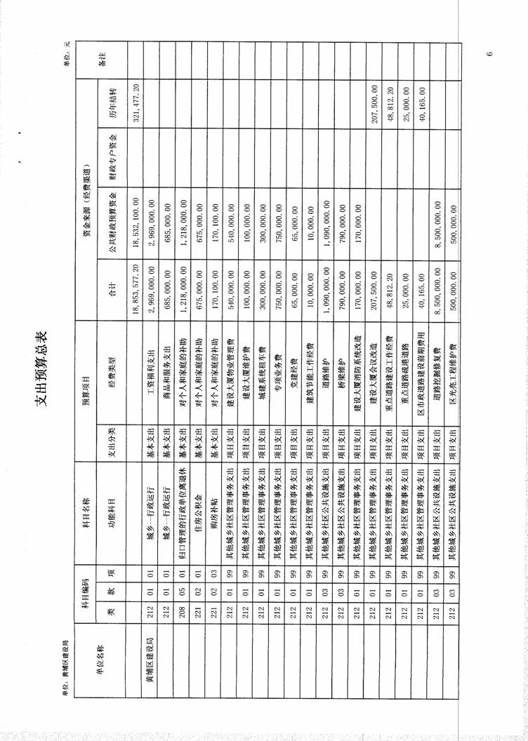
黃埔區建設局2013年部門預算
信息來源:本網
發布時間:2013-04-16 02:15:00
瀏覽量:
-
【
打印
】 字體【
大
中
小
】
分享到:
附件下載:
掃一掃在手機打開當前頁