目錄
第一部分 黃埔區城市管理局概況
一、部門主要職能
二、部門基本情況
第二部分 2013年部門預算安排情況說明
第三部分 2013年部門預算表
一、收支預算總表
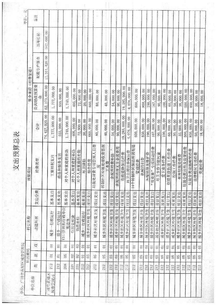
二、支出預算總表
第一部分 黃埔區城市管理局概況
一、黃埔區城市管理局主要職能
(一)貫徹執行國家和省、市有關城市管理及綜合執法的方針政策和法律法規,並組織實施和監督檢查。
(二)負責編製本區城市管理總體規劃及中長期發展規劃和年度計劃,並組織實施。
(三)負責對本區城市市容景觀、環境衛生、愛國衛生實施管理;組織領導、統籌協調、監督檢查、綜合考評全區城市管理和綜合執法工作;負責本區城市管理監控、指揮調度和應急處置。
(四)負責製定本區市容環境衛生、愛國衛生城市維護費年度計劃並組織實施;負責市容環境衛生、愛國衛生專項資金和環境衛生係統、愛國衛生係統國有資產的管理;負責擬訂環境衛生服務收費標準,經批準後組織實施。
(五)負責建築垃圾排放、運輸、受納與工地施工噪音的管理。
(六)承擔城市道路環境管理的綜合協調職責,負責研究製定交通設施、城市道路及配套設施(含城市道路照明謝謝綠化帶、隔音設施等)的保潔標準,對落實保潔標準的組織實施情況進行監督、檢查和考核。
(七)負責製定大、中型環境衛生設施建設規劃和年度固定資產投資計劃;統籌安排大型設備和環境衛生機械、車輛的更新補充;參與市容環境衛生設施建設項目的選定、竣工驗收工作,承擔市容環境衛生設施建成後日常管理職責。
(九)負責戶外廣告、招牌設置管理;依據城市規劃和市容標準的要求,編製戶外廣告點位置規劃方案,經審定後組織實施;負責戶外廣告點位設置使用權拍賣;負責臨時性戶外宣傳品的審核管理;負責對人行道、建築物立麵天麵、公共設施公共場所和交通運輸工具(車輛、船舶)的容貌神話監督管理;負責對機動車輛清洗行業實施管理。
(十)負責開展愛國衛生工作,組織協調、檢查指導和監督考核本區愛國衛生運動委員會各委員單位、政府有關部門及駐區各單位;組織指導開展各類愛國衛生創建、病媒生物防製、轉製社區改廁工作;參與協調關於部門製定重大災情、疫情、中毒事故等突發事件的防範措施和應急對策;負責廣州市國家衛生城市管理工作,承辦廣州市創建文明城市相關事宜。
(十一)組織製定城市管理科技發展和信息化建設規劃並組織實施,協調關於重大科技項目攻關、成果推廣和新技術引進工作;負責數字化城市管理的建設和管理工作;推進城市管理公共服務的市場化、社會化、專業化和產業化的發展。
(十二)負責檢查、督促市容環境衛生責任區、《責任區告知書》的實施和落實。
(十三)承辦區委、區政府和上級主管部門交辦的其他事項。
二、部門預算單位基本情況
(一)機構設置
黃埔區城市管理局設1個一級會計單位。
(二)人員情況
本單位在職在編人員15人,其中:行政編製14人、後勤服務人員1人;離退休人員20人。
(三)車輛情況
本單位汽車數量9輛。
第二部分 2013年部門預算安排情況說明
一、2013年部門預算收支情況總體說明
黃埔區城市管理局2013年收入預算7,442.70萬元,其中:
1.公共財政預算資金6,217.36萬元;
2. 財政專戶管理資金1,131.14萬元;
3.上年結轉94.20萬元。
黃埔區城市管理局2013年支出預算7,442.70萬元,其中:
1.基本支出456.99萬元,其中:工資福利支出177.70萬元,商品和服務支出55.50萬元,對個人和家庭的補助223.79萬元;
2.項目支出6,985.71萬元。
二、2013年部門預算項目支出安排情況
(一)經常性專項支出6,010.11萬元,主要項目如下:
1.綜合經費66.00萬元;2.垃圾處理費專項管理人員費用8.00萬元;3.轉製社區垃圾處理收費票據工本費4.00萬元;4.餘泥所經費補助5.40萬元;5.餘泥所清理無主餘泥經費9.00萬元;6.市政道路保潔經費1,928.50萬元;7.環衛公廁管養保潔費407.60萬元;8.14個轉製社區保潔所屬街道管理經費60.00萬元;9.環衛設施采購93.50萬元;10.機械清掃費85.00萬元;11.壓縮站除臭維護費19.00萬元;12.“雙競賽”專項活動16.70萬元;13.環衛節春節慰問金9.00萬元;14.愛衛業務經費10.00萬元;15.創建星級街道工作經費6.00萬元;16.創星級衛生街道經費14.00萬元;17.控煙工作經費5.00萬元;18.有害垃圾處理費3.50萬元;19.垃圾分類宣傳及監管經費50.00萬元;20.垃圾分類設施購置經費85.00萬元;21.法律顧問專項經費5.00萬元;22.黨建經費1.80萬元;23.愛衛藥品藥械購置、珠江湧消殺經費74.00萬元;24.防蚊閘板經費7.50萬元;25.公廁維護費10.00萬元;26.加水站、壓縮站更新維修費30.00萬元;27.燃氣管理經費8.00萬元;28.轉製社區保潔財政補助1,846.87萬元;29.轉製社區保潔收費成本補助1,131.14萬元;30.收費成本補助10.60萬元。
(二)一次性專項支出8.00萬元,主要項目如下:
垃圾分類工作經費8.00萬元。
(三)區統籌專項支出967.60萬元,主要項目如下:
垃圾處理經費967.60萬元。
三、2013年部門預算“三公”經費情況
黃埔區城市管理局2013年部門預算“三公”經費合計90.62萬元。其中:因公出國(境)經費預算0萬元;公務用車購置及運行費預算46.62萬元 (其中:公務用車購置費16.00萬元、公務用車運行費30.62萬元);公務接待費預算44.00萬元。






粵公網安備 44011202000021號
